GMZ系(xì)列.耐磨煙氣脫硫(liu)泵是單級單吸、軸(zhou)向吸入懸臂卧式(shì)離心泵,可廣泛用(yong)于冶金、礦山、電力(lì)、煤礦、水利、化工、輕(qing)工、石油等部門輸(shu)🤟送含有大量固體(tǐ)物料的磨蝕性或(huo)腐蝕性漿體。
GMZ型渣漿泵概(gai)述: GMZ系列高效耐磨(mó)煙氣脫硫泵是單(dān)級單吸、軸向吸入(ru)懸臂🐪卧式離心泵(bèng),可廣泛用于冶金(jin)、礦山、電力、煤礦🏃♀️、水(shui)利、化工、輕工、石油(yóu)等部門輸送含有(yǒu)大量固體物料的(de)磨蝕性或腐蝕性(xìng)漿體。
1、GMZ型泵過流部(bu)件采用高強度耐(nai)磨材質,适用于輸(shu)送強磨蝕、高濃度(dù)、大顆粒的渣漿,在(zai)泵的最大工作壓(ya)力範圍之内, 可以(yǐ)多級串聯使用。
2、針(zhen)對煙氣脫硫漿離(lí)子含量的特點,我(wo)們采用世界🐇上最(zui)先進的⭐法國鉻30材(cai)質,加油機裡面含(han)有Mo、Cr、Cu、N又加入一定🈲活(huo)性元素,耐磨👉耐腐(fu)及抗沖刷性能良(liang)好,又有較好的強(qiáng)度與韌性。
GMZ高效耐(nai)磨渣漿泵型号意(yi)義: 例:GMZ65-20-40
GMZ―高效耐磨渣(zhā)漿泵
65―出口直徑(mm)
20―揚(yáng)程值(m)
40―流量值(m3/h)
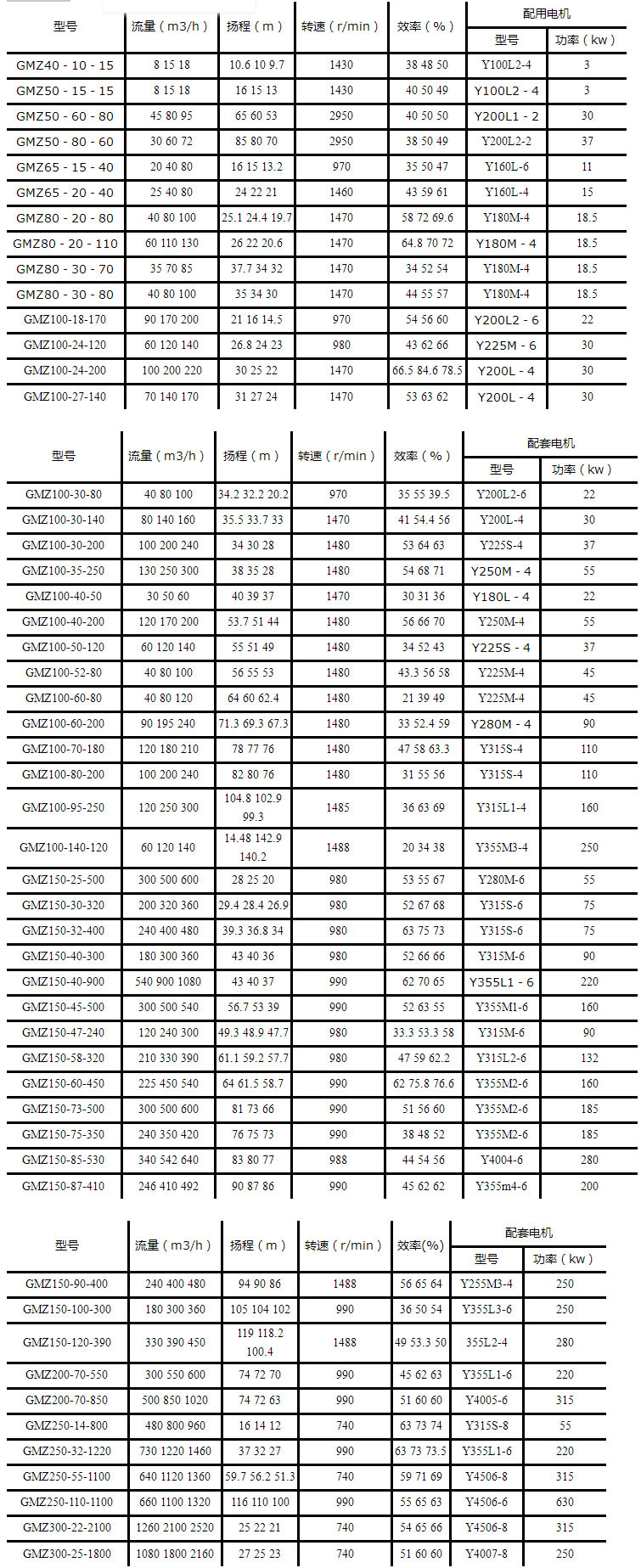
GMZ型渣(zhā)漿泵性能範圍: 流(liú)量8-2600m3/h
揚程:9-150m
功率:1.5-630kw
性能(néng)參數:
